Обычно, когда говорят о квантовых вычислениях, либо рассуждают о красотах квантовой механики, либо восторженно рассказывают о счастливом будущем, либо считают кубиты. Достаточно поискать новости по этой теме, чтобы наткнуться на десятки заголовков а‑ля «Квантовое превосходство достигнуто», «Квантовые вычисления стали возможны при комнатной температуре». В итоге представление темы в медиаполе получается как в том меме и, мягко говоря, не соответствует действительности.
Давайте познакомимся: я Михаил Ремнев, ученый‑физик, кандидат физико‑математических наук, занимался численным моделированием и исследованием разных квантово‑механических систем. Немного потрудился в государственном фонде, финансирующем инновационные проекты, участвовал в первых российских проектах по созданию кубитов, сейчас аналитик в Cloud.ru. В этой статье я расскажу о том, чего на самом деле достигли квантовые компьютеры, какие задачи и в каком объеме решены на данный момент, и так ли уж близок квантовый апокалипсис. Опираться мы будем не на медиа, а на рецензируемые публикации в научных изданиях.

Если вы уже примерно в курсе, как работают квантовые компьютеры, можете смело листать к следующему разделу, а если нет, давайте нырнем в короткий и поверхностный экскурс (да простят нас Нильсен и Чанг за примитив в угоду ясности).
Коротко о квантовых вычислениях
Есть шутка о том, что квантовый компьютер как морская свинка, которая не морская и не свинка. Строго говоря, квантовые компьютеры и не компьютеры вовсе. Да, это альтернативный вычислитель, но не обычный.
В обычный компьютер мы, например, сообщаем числа, с которыми нужно произвести операции: допустим 2+2. Электрические сигналы от устройств ввода проходят через аналого‑цифровой преобразователь, где дискретизируются — т. е. разделяются на отдельные временные точки и квантуются, т. е. округляются до ближайшего значения. Чем больше разрядность АЦП, тем больше промежуточных значений, до которых можно округлять, и тем ближе цифровой сигнал к аналоговому первоисточнику. Затем квантованное значение преобразуется в двоичный код и передается в оперативную память, где записывается битами информации, которые физически выражаются как наличие или отсутствие заряда в ячейке памяти. Программа воспринимает эти биты как два числа (разумеется, в двоичном представлении), и оператор сложения приходит к выводу, что нам нужно сложение, и отправляет числа и соответствующую инструкцию в регистры процессора. Процессор состоит из миллиардов транзисторов, которые образуют регистры памяти и логические гейты, ответственные за выполнение нескольких видов операций, таких как AND, OR или NOT. Транзистор проводит ток — это 1, не проводит — 0. Именно туда записываются наши числа в двоичной кодировке, с ними происходят математические операции, и в итоге мы видим 4 на экране компьютера.
С квантовыми вычислениями все по‑другому. Здесь в качестве и физических носителей информации, и логических гейтов используются квантовые объекты — сверхпроводящие цепи, ионы в ловушках, фотоны или атомы, а они подчиняются законам квантовой механики. У квантовых объектов есть несколько особенностей, которые делают их очень удобными для некоторых видов задач. Давайте коротко пробежимся по основным понятиям, без которых ориентироваться в теме квантовых вычислений будет совсем сложно:
Альтернативные вычисления. Это вычислительные подходы, которые отличаются от традиционных цифровых вычислений, основанных на кремниевой технологии. Альтернативные вычисления могут включать в себя квантовые вычисления, нейроморфные вычисления, биологические вычисления и другие подходы, которые используют различные физические принципы для обработки информации.
Суперпозиция. Это квантовое явление, при котором кубит может находиться в нескольких состояниях одновременно (да‑да, прямо как тот кот в коробке). Это позволяет квантовым компьютерам обрабатывать огромное количество информации параллельно.
Кубиты. Кубит (квантовый бит) — это основная единица информации в квантовом компьютере. В отличие от классического бита, который может быть либо 0, либо 1, кубит может находиться в состоянии суперпозиции, благодаря чему уже содержит большинство возможных значений. Физически кубиты могут быть представлены, например, электронами, спины которых (внутренний угловой момент) направлены строго вверх или вниз, поляризованными фотонами или ядрами атомов. Кубиты могут контролироваться с помощью магнитных и электрических полей, а также с помощью лазеров и микроволновых импульсов. Это позволяет изменять их состояния и выполнять квантовые операции.
Именно способность кубитов находиться сразу в двух состояниях обуславливает «параллелизм» при вычислениях и короткий промежуток от ввода значений до получения результата. Я намеренно не говорю «высокую скорость», потому что это не так.
При измерении кубит «коллапсирует» из состояния суперпозиции в одно из классических состояний — 0 или 1 (это примерно, как если бы мы снимали птичку‑колибри, которая машет крыльями слишком быстро для глаза, на короткой выдержке). Вероятности этих исходов определяются амплитудами (коэффициентами) волновой функции кубита.
Кубиты крайне нестабильны и очень чувствительны к разного рода внешним воздействиям, поэтому работать с ними часто можно только в холоде или вакууме, при отсутствии внешнего шума, света и т. д. Именно поэтому квантовые системы очень подвержены ошибкам и результаты вычислений, полученные с помощью кубитов, требуют квантовой коррекции, для чего используются уже другие кубиты.
Амплитуда волновой функции кубита. Это число, которое описывает вероятность нахождения кубита в определенном состоянии при измерении.
Запутанность. Это квантовый эффект, при котором состояние одного кубита связано с состоянием другого, даже если они находятся на большом расстоянии друг от друга. Запутанность позволяет квантовым компьютерам выполнять некоторые задачи более эффективно, чем классические компьютеры.
Квантовые гейты. В отечественной традиции их иногда называют «вентили». Это операции, которые изменяют состояние кубитов. Они аналогичны логическим гейтам в классических компьютерах, но работают с кубитами. Квантовые гейты могут выполнять сложные операции, используя принципы квантовой механики, такие как запутанность и суперпозиция.
Подробнее о принципах работы квантовых компьютеров и обещаниях прекрасного (и ужасного) квантового будущего можно ознакомиться во множестве научно‑популярных источников. Вот лишь некоторые из них:
Наша же статья посвящена возможностям практического применения квантовых вычислителей, так что ближе к делу.
Какими еще бывают альтернативные вычисления и почему они нужны
Начнем с того, зачем вообще нужны альтернативные вычислители.
Когда говорят об альтернативных вычислениях, обычно вспоминают закон Мура, который является эмпирическим правилом о том, что число транзисторов на кристалле удваивается каждые 24 месяца (в другой интерпретации производительность удваивается). Мол, скоро мы дойдем до предела того, насколько маленькими могут быть транзисторы, а значит, пора придумать что‑то новое. Эта тема уже избита: каждый предлагающий альтернативные вычисления ссылается на то, что закон Мура вскоре исчерпает себя. Но уверяю вас, и там еще есть куда расти: например, 3D компоновка чипов, да и в 2D еще не все перепробовано.
У нас есть куда более серьезная проблема: дата‑центры потребляют все больше и больше энергии. В ассоциации полупроводниковой промышленности экстраполировали потребление энергии дата‑центрами и показали, что примерно к 2050 году, если все пойдет так же, потребляемая ими энергия сравняется с энергией, вырабатываемой человечеством.

Чтобы преодолеть грядущие трудности, люди параллельно классическим вычислителям развивают альтернативные вычислительные устройства. Под классическими вычислениями я буду понимать цифровые вычисления на полупроводниковой технологии. Они окружают нас повсюду: процессоры ноутбуков и смартфонов, графические ускорители и т. д. Альтернативные вычислители найти сложнее ― они известны только узким специалистам. Это могут быть цифровые вычисления на транзисторах, изготовленных из полупроводников A3B5, которые являются альтернативой кремнию. Могут быть реализации, основанные на альтернативных носителях, таких как магноны или спины электронов (Спинтроника). В последнее время с развитием технологий стали популярны матричные умножители и нейроморфные системы на оптике.
Как правило, альтернативные вычислители аналоговые. Прекрасное видео об истории и современном развитии аналоговых вычислителей представлено на канале Veritasium (перевод на канале Vert Dider): Аналоговые компьютеры. Часть 1 и Аналоговые компьютеры. Часть 2.
Доходит дело даже до такой экзотики, как вычисления на грибницах. В 2023 году вышла статья о Fungal machines в серьезном реферируемом журнале.
Но особняком среди всех альтернативных вычислений стоят квантовые компьютеры, которые предлагают беспрецендентную мощь. Если обычный компьютер или даже суперкомпьютер будет раскладывать на множители число из 2048 бит тысячи лет, то квантовый компьютер сможет это сделать за час. А это значит, что алгоритм шифрования RSA может быть взломан. Так, во всяком случае, нам обещают многочисленные популяризаторы науки.
Целый ряд стартапов и крупных компаний разрабатывают квантовые компьютеры. Вот некоторые из них: IBM — 1121 кубит, Google — 77 кубит, D‑Wave — 5760 кубит, Rigetti — 80 кубит, IonQ — 29 и многообещающая компания PsiQuantum пока не показала ни одного кубита, но обещает в 2025 году миллион. Компании обладают квантовыми компьютерами с разным количеством кубит, реализованных по разным технологиям или, как говорят, на разных платформах. Например, IBM, Google и D‑Wave обладают кубитами на сверхпроводниковой технологии, а IonQ и Rigetti — на ионах. Отличия IBM и D‑Wave я поясню дальше. А пока нужно понять, что не количество кубитов определяет прогресс технологии, а задачи, которые они могут решить. IBM может обладать тысячью кубитов, но считают все равно на ста.
Задачи, которые решаются на данный момент
Давайте рассмотрим, какие задачи может решить квантовый компьютер сегодня и что стоит на пути его развития. Я взял несколько показательных примеров из тех областей, в которых, как обещают из всех утюгов, наступит квантовая революция: криптография, логистика и дизайн молекул.
Алгоритм Шора. Факторизация чисел
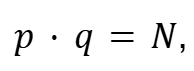
Начнем с задачи, которая на слуху у всех. Алгоритм, благодаря которому квантовые компьютеры стали известны широкой публике, является алгоритм Шора. Используя его, квантовый компьютер сможет взломать алгоритм шифрования RSA. Для справки: RSA ― это алгоритм, на котором работают многие цифровые подписи. Суть его примерно такова: вы берете пару больших простых чисел (одна у отправителя и одна у получателя) и перемножаете их. Получившееся число становится открытым ключом и прикладывается к отправлению. Открыть отправление можно только имея один из двух исходных множителей. Само по себе получившееся число бесполезно, даже если окажется в руках у взломщика, поскольку практически невозможно за разумное время разложить произведение обратно на множители.
Алгоритм достаточно прост с вычислительной точки зрения и может быть реализован на любом роутере. Если научиться взламывать подобные алгоритмы, это приведет к огромным финансовым потерям — миллиардам устройств придется переходить на другие квантово‑устойчивые алгоритмы.
Выглядит это примерно так:

где p и q — простые числа. RSA 2 048 означает, что N состоит из 2 048 двоичных знаков, т. е. около 600 десятичных цифр. Если с перемножением простых чисел обычный роутер справится быстро, то разложить на множители N суперкомпьютер сможет через тысячи лет.
При помощи алгоритма Шора выполнить такую задачу можно за несколько часов, по крайней мере так утверждается в статье How to factor 2048 bit RSA integers in 8 hours using 20 million noisy qubits. Для факторизации числа требуется порядка 6 000 идеальных кубитов или 20 млн шумных кубитов, а также порядка 2 млрд квантовых гейтов.
Пожалуй, нужно сделать небольшое лирическое отступление о том, что такое шумные и идеальные кубиты, потому что без этого может создаться впечатление, что в мире квантовых вычислений круче тот, у кого кубитов больше. Так вот: из‑за подверженности квантовых объектов внешним воздействиям и оттого, что кубиты содержат помимо правильного, интересующего нас ответа, еще тысячи и миллионы неправильных, результаты их вычислений нуждаются в коррекции. Такие неблагонадежные кубиты мы называем шумными и добавляем к ним эдаких «надзирателей» в виде других кубитов, которые перепроверяют данные за исходными вычислительными единицами. В свою очередь, результаты «надзирателей» тоже проверяются, и мы получаем меньшую вероятность ошибки. У шумных кубитов есть еще один недостаток: короткое время когерентности. Это значит, что если нам удалось ввести их в состояния суперпозиции или запутанности, у этого состояния есть срок годности, поэтому нужно ковать вычисления, пока горячо. А что же идеальные? Они лишены всех этих несовершенств, проблема только в том, что их не существуют. Это недостижимый идеал, к которому ученые стремятся путем многократной коррекции шумных кубитов.
Но вернемся к практике: какое же число в настоящее время разложено на множители квантовым компьютером? Вот пример двух экспериментальных работ, посвященных разложению чисел: Demonstration of Shor»s factoring algorithm for N 21 on IBM quantum processors и Experimental study of Shor's factoring algorithm using the IBM Q Experience. Из названия первой статьи становится ясно, что было разложено число 21. Во второй исследуется возможность разложения числа 35. Нет, не число из 35 знаков, и не 35-битный двоичный код, просто 35. Квантовый апокалипсис пока придется отложить.
Алгоритм Шора не является показательным примером развития технологии. Как будет показано далее, он слишком длинный и чувствителен к шумам. Кроме того, не считаю взлом RSA полезным делом — кому будет лучше от того, что придется переходить на другие, менее удобные, алгоритмы? Тем более, когда есть другие, более полезные.
Кстати, совсем недавно, в 2023 году, израильско‑американский математик Одед Регев предложил еще более эффективный алгоритм факторизации чисел.
Подытожим.
Что нам хотелось бы сделать? Разложить на множители число, состоящее из 2 048 бит.
Что нам удалось? Разложить на множители 35 (6 бит).
Предсказание свойств молекул
Гораздо более близкая цель для квантового компьютера заключается в решении задачи, для которой он и был задуман. Действительно, идея квантового компьютера заключалась в том, чтобы смоделировать одну квантовую систему при помощи другой, контролируемой. Поэтому моделирование молекул и расчет их свойств кажется наиболее перспективной задачей в ближайшее время. Ближайшее в масштабах развития данной технологии, разумеется.
Прогресс последних нескольких десятков лет неразрывно связан с компьютерным моделированием и дизайном. Автомобили стали безопасными благодаря расчетам прочности конструкций и динамики их деформации. Небоскребы стали высокими благодаря расчетам прочностных характеристик. Даже сами компьютеры поддерживают выполнение закона Мура благодаря компьютерному моделированию процессов, происходящих в полупроводниках, и автоматическому проектированию интегральных схем.
Многие химические соединения, катализаторы и молекулы для лекарств были изначально предсказаны при помощи компьютерного моделирования. Приведу пример полезной молекулы, которая вошла в лекарственные средства. Материал взят из статьи Successful applications of computer aided drug discovery: moving drugs from concept to the clinic с историями открытия 12 небольших молекул при помощи драг‑дизайна. В 2003 году при помощи расчетов было показано, что молекула Алискирена лучше других будет связываться молекулами, влияющими на артериальное давление. Затем она была синтезирована и после клинических испытаний вышла на рынок в составе лекарства от артериальной гипертензии. На рисунке ниже приведена структура Алискирена для пониманий масштабов проблемы.

Моделирование молекул — это сложная вычислительная задача, и при определенном ее размере она становится неподъемной для классических суперкомпьютеров. И тут на помощь могут прийти компьютеры квантовые.
Это означает, что могут быть предсказаны их свойства или исследованы свойства молекул в процессе их работы в организме. Например, перспективным кандидатом в молекулы, которые могут быть исследованы при помощи квантового компьютера, является гистоновая деметилаза (источник Application of Quantum Computing to Biochemical Systems: A Look to the Future). Гистоновая деметилаза участвует в механизмах включения и выключения генов. Понимание ее работы и реакций, происходящих в ней, может продвинуть нас в разработке генной терапии. Да простят меня молекулярные биологи, если я что‑то напутал.

Приведенная молекула достаточно большая, но для ее расчета с приемлемой точностью требуется учитывать 151 электрон и 121 молекулярную орбиталь. А теперь давайте посмотрим, какие молекулы были рассчитаны на квантовом компьютере до сегодняшнего дня. В одной из ранних работ при содействии команды Google Quantum AI была рассчитана достаточно большая для квантового компьютера цепочка из атомов водорода H12 (Hartree‑Fock on a superconducting qubit quantum computer, 2020). Для расчетов использовались 12 кубитов. С тех пор размеры молекул несильно увеличились. Как правило, рассчитывают маленькие молекулы H2, LiH, BeH2, N2, H4 c хорошей точностью.
Одним из последних достижений стал расчет достаточно большой молекулы металл‑хелатного комплекса Fe(NTA)(H2O)2 с химической точностью (т. е. точность, приемлемая для предсказания результатов химических реакций). Результаты получены на ионном квантовом компьютере с использованием 10 кубитов. В расчетах использовались пять электронов и пять орбиталей (источник Solving an Industrially Relevant Quantum Chemistry Problem on Quantum Hardware).

Кроме того, в работе присутствует интересная таблица 2 со списком других работ. В ней приведены рассчитанные при помощи квантового компьютера молекулы и характеристики расчетов: количество кубитов, электронов и молекулярных орбиталей. Нужно отметить, что количество использованных электронов и орбиталей, которые определяют свойства молекулы, бывает намного меньше, чем общее количество электронов в этой молекуле.
Итого.
Что нам хотелось бы сделать? Предсказать свойства молекулы со 151 электроном.
Что нам удалось? Предсказать свойства молекулы с 5 электронами.
Задачи оптимизации и логистики
Задачи оптимизации и логистики в жизни встречаются очень много, начиная от того как быстрее всего заменить аккумуляторы на самокатах кикшеринга и заканчивая оптимизацией финансовых портфелей. Большинство работ, посвященных таким задачам, используют так называемый адиабатический квантовый компьютер (или квантовый отжиг), предлагаемый компанией D‑Wave. Настало время пояснить, чем адиабатический квантовый компьютер отличается от универсального.
Что отличает универсальные (или как их еще называют гейтовые) квантовые компьютеры, предлагаемые компаниями IBM, Google, Rigetti и другими, от адиабатического квантового компьютера D‑Wave (или квантового отжига). В первом случае процесс вычисления выглядит следующим образом: на кубиты последовательно подаются сигналы, соответствующие однокубитным и двухубитным квантовым гейтам. Среди гейтов есть аналогичные привычным логическим операциям NOT, Control NOT, но больше непривычных гейтов, таких как оператор Адамара H, который вводит кубит в состояние суперпозиции и всяческие вращатели фазы. После выполнения всех гейтов применяются операции считывания. После измерения каждого кубита получается битовая строка. Поскольку результаты измерения носят вероятностный характер, процесс повторяется большое число раз. Из полученного распределения получается ответ. Процесс можно изобразить в виде схемы, изображенной на рисунке:

Шестикубитная схема. Номерами от 0 до 5 обозначены кубиты. К ним последовательно применяются квантовые гейты. Сначала 5 кубит вводится в состояние суперпозиции при помощи оператора Адамара. Затем кубиты попарно запутываются при помощи оператора Control NOT. В конце все кубиты измеряются. До измерения система окажется в абсолютно запутанном состоянии, т. е. измерение кубитов приведет к тому, что все кубиты окажутся в состоянии 1 или все кубиты окажутся в состоянии 0, независимо от того, в какой последовательности их измеряют или же их измеряют одновременно. Не может быть так, что, например, 5-й и 4-й кубиты покажут 1, а остальные 0.
Адиабатический квантовый компьютер тоже состоит из кубитов. Однако, операции, которые над ним производят, в некотором роде проще. Точнее над кубитами проводится одна операция. Но перед этим между кубитами устанавливаются связи. Такой квантовый компьютер описывается при помощи модели Изинга:

где σi называются спинами и принимают значения ½ или ‑½. Коэффициенты Jij и hi задают величины связей кубитов между собой и с внешним полем. Оказывается, к такому виду можно свести множество задач. Функция H является функцией энергии системы. Квантовый компьютер, по принципу известному из школьной физики, устремляет энергию к минимуму и система из спинов в этом состоянии соответствует полученному решению.
Обе реализации обладают своими плюсами и минусами, подходят для решения разных типов задач. Однако, в целом они эквивалентны. Существуют алгоритмы универсального квантового компьютера, которые находят решение модели Изинга. С другой стороны, в формулировке модели Изинга можно записать множество задач, решаемых на универсальном квантовом компьютере.
Для примера возьмем задачу оптимизации, актуальную для облачного провайдера. В облаке находятся много серверов, на каждом из которых можно запустить несколько виртуальных машин. Виртуальные машины все разнородные и требуют разного количества ресурсов: ядра процессора, оперативная память, диск и т. д. Количество виртуальных машин на одном сервере ограничено ресурсами. Нужно наиболее оптимальным образом использовать сервера. Такая задача похожа на упаковку рюкзака, только рюкзаков тут много и каждый еще имеет несколько размерностей. Каждая виртуальная машина имеет неопределенное время жизни, и после ее выполнения на сервере остается пустое место, что требует перераспределения виртуальных машин.

Задачи о рюкзаках могут быть сформулированы в QUBO (Quadratic unconstrained binary optimization) постановке, которая легко трансформируется в модель Изинга и может быть решена на квантовом компьютере. Возьмем более‑менее реальные цифры: 550 серверов, на которых нужно разместить 6 000 виртуальных машин. В постановке QUBO вектор решений состоит из нулей и единиц, где xij = 1, если i‑я виртуальная машина запущена на j‑м сервере. Тогда оценка количества переменных, в нашем случае кубитов, составит 6 000*550 ~ 3 млн кубитов.
Последний квантовый компьютер D‑Wave Advantage 2 обещает порядка 7 000 кубитов. Вместе с тем, нужно учитывать, что в нашей задаче требуется 3 млн полносвязных кубитов. Это означает, что каждый из них связан с каждым. Существующие реализации предлагают весьма ограниченную связность, которая эквивалентна порядка сотне полносвязных кубитов.
Проблема связности кубитов накладывает сильные ограничения на размеры решаемых задач. Посмотрим, какого масштаба задачи оптимизации могут быть решены на сегодняшний день на квантовом компьютере. Здесь стоит оговориться, что что Leap от D‑Wave предлагает гибридный решатель, который задачу может запускать на GPU или CPU. Мы будем рассматривать решение только на квантовом вычислителе.
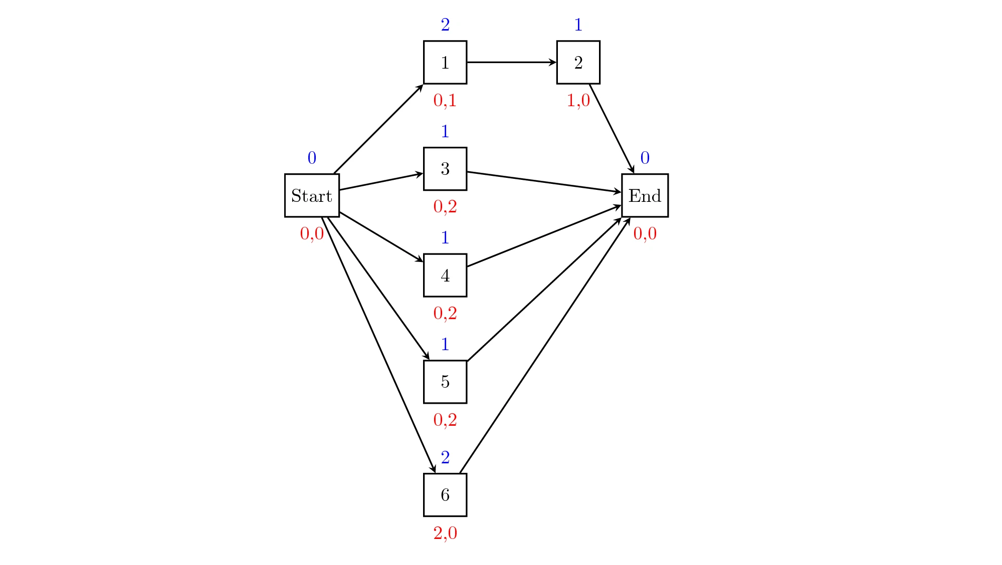
В работе Solving the resource constrained project scheduling problem with quantum annealing приведено решение задачи оптимизации с учетом ограниченности ресурсов. Как видно из результатов, размер проекта составил восемь задач. Фактически решена комбинаторная задача по переставлению нескольких кубиков. Более наглядно это изображено на рисунке ниже.

Схема проекта, состоящего из шести задач. Задачи запускаются слева направо. Красными цифрами изображены требования к ресурсам. В данном случае здесь два вида ресурсов. Что в результате?
Что нам хотелось бы сделать? Оптимизировать работу 6 000 объектов.
Что нам удалось? Оптимизировать один проект из восьми задач.
Что в итоге
Мы увидели на примерах, что размеры задач, которые могут быть решены квантовыми вычислительными устройствами, на сегодня несоразмерно меньше размеров задач, которые хотелось бы решить или уже решаются обычными компьютерами. Почему так происходит.
Основной проблемой квантовых компьютеров остается точность выполняемых операций. Решение даже самой простой задачи требует выполнения алгоритма на универсальном квантовом компьютере длинною в сотни тысяч гейтов. Квантовое вычислительное устройство обладает недостатками аналоговых компьютеров: ошибка на каждом шаге накапливается. Это означает, что ошибка всего алгоритма вычисляется по формуле 𝞪 N, где 𝞪 — точность операции, а N — количество операций. Например, если точность одной операции составляет 99,9%, то выполнение 1 000 операций приведет к точности всего алгоритма (0,999)1000 = 36%. Или же если мы хотим выполнить алгоритм из 600 000 операций с 50% точностью, нам придется создать такой вычислитель, у которого будет точность одного гейта 99,9999%.
Приведенная выше величина точности пока недостижима для квантовых компьютеров. Например, один из лучших результатов по точности достигнут компанией IonQ: 99.9% (IonQ Achieves Industry Breakthrough — First Trapped Ion Quantum System to Surpass 99.9% Fidelity on Barium). И каждая новая девятка после запятой дается с гигантскими усилиями и компромиссами.
Кроме того, каждая квантовая вычислительная система обладает так называемым временем когерентности: временем, за которой сохраняется возможность вычислений. Например, время когерентности сверхпроводниковых кубитов от 1 до 100 мс. Если время выполнения одного гейта порядка 1 мкс, то за время когерентности можно выполнить от 1 000 до 100 000 гейтов. Чтобы решить задачу коммивояжера из 5 городов, нужно выполнить алгоритм из 600 000 гейтов.
И третья, на мой взгляд, основная причина заключается в том, что топология существующих реализаций кубитов весьма ограничена. Для свободного выполнения какого‑либо алгоритма требуется полносвязная система, т. е. двухкубитные операции должны выполняться между любыми двумя кубитами. В настоящее время это далеко не так. Существуют способы связи между кубитами при помощи других кубитов, но это приводит к удлинению алгоритма и увеличению погрешности.
Можно мериться кубитами, можно мерить точности отдельных кубитов, можно совершать «прорывы», которые вот точно приведут квантовые компьютеры к решению сложнейших задач, но, на мой взгляд, лучше следить за реальными достижениями в виде решенных задач. Размеры решенных квантовым компьютером задач действительно показывают, как далеко мы от практического применения подобных вычислений.
Вам может быть интересно:

